Alexis Bédard-Therrien
Mes travaux de recherche portent sur les événements de pluie sur neige et sur les approches visant à améliorer la modélisation de leurs impacts hydrologiques. La première partie de mon doctorat met l’emphase sur la détermination précise de la phase des précipitations. À partir d’observations recueillies par un réseau de disdromètres, j’ai développé un modèle de forêts aléatoires qui améliore le fractionnement des phases par rapport à des méthodes de référence existantes. La deuxième partie de ma thèse porte sur l’analyse d’événements de pluie sur neige associés aux rivières atmosphériques. Celle-ci met en évidence la forte variabilité de leurs impacts hydrologiques selon leur moment d’occurrence au cours de l’hiver et selon l’intensité des rivières atmosphériques.Enfin, la dernière partie de mes travaux vise à améliorer la modélisation de la fonte nivale lors des événements de pluie sur neige. L’objectif principal de cette section est de définir des stratégies permettant d’augmenter la précision des simulations de fonte. Ce travail cherche également à mieux comprendre comment les incertitudes de modélisation varient en fonction du moment, de l’intensité et des caractéristiques propres à chaque événement, contribuant ainsi à l’amélioration de la modélisation hydrologique en région froide.


Étudiant au doctorat en génie des eaux - Université Laval
Affiliations
Département de génie civil et de génie des eaux,
Université Laval
Centreau
Centre de recherche en eau c-Eau
Hydrologie des régions froides
Modélisation hydrologique
Hydrométéorologie
Supervision: Daniel Nadeau et François Anctil
Informations supplémentaires
Schéma de modèle
Le modèle de partitionnement guidé par la phase utilise un modèle de forêt aléatoire pour classifier la phase des précipitations en solide, liquide ou mixte, et attribue les quantités de précipitations correspondantes, avec l’aide d’un régresseur dans le cas de précipitations de phase mixte.


7 distributions de phase
Distributions de la phase des précipitations en fonction de la température de l’air à 2 m. Les précipitations observées sont présentées en (a), et les modèles de comparaison sont illustrés en (b), (d) et (f). Les différents modèles de partitionnement guidé par la phase (PGP) sont présentés en (c), (e) et (g). PGP_basic requiert le moins de données (température à 2 m et altitude), PGP_hydromet inclut des variables hydrométéorologiques supplémentaires, et PGP_full intègre des données de réanalyse atmosphérique.


Types d'événements
Occurrence saisonnière de 154 événements de pluie sur neige répartis sur 47 sites exploités par Hydro-Québec. Les catégories d’événements se réfèrent à l’intensité des rivières atmosphériques (AR), avec AR haute intensité (high-scale) et AR basse (low-scale) intensité correspondant respectivement à des événements de forte et de faible intensité, tandis que non-AR désigne un événement dont l’intensité n’atteignait pas le seuil minimal.


Distributions des événements
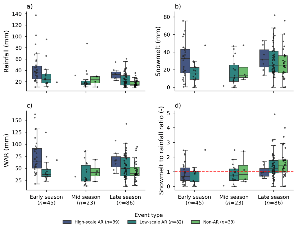
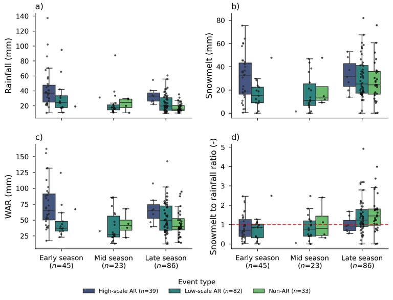
Partitionnement des apports verticaux (AV) pour 154 événements de pluie sur neige sur des sites exploités par Hydro-Québec. Les événements sont répartis selon leur occurrence saisonnière et l’intensité des rivières atmosphériques (AR). Les catégories d’événements se réfèrent à l’intensité des AR, avec AR de haute intensité (high-scale) et AR de basse intensité (low-scale) correspondant respectivement à des événements de forte et de faible intensité, tandis que non-AR désigne un événement dont l’intensité n’atteignait pas le seuil minimal. Les totaux de pluie et de fonte pour chaque événement sont présentés en a) et b), lesquels constituent la quantité totale d’AV illustrée en c). Le ratio entre la pluie et la fonte totales est montré en d), ce qui révèle la contribution relative de ces apports en eau.
Contact
© 2025. Tous droits réservés.
Pavillon Adrien-Pouliot
1065, avenue de la Médecine
Québec (Québec) G1V 0A6


