Alexis Bédard-Therrien
My research focuses on rain-on-snow events and approaches to improve the modelling of their hydrological impacts. The first part of my PhD work addresses the challenge of accurately determining the phase of precipitation. By using observations from a network of disdrometers, I developed a random forest model that enhances phase partitioning compared to existing benchmark methods. The second part of my thesis examines rain-on-snow events associated with atmospheric rivers. This analysis highlights how the hydrological impact of these events varies significantly depending on when they occur during the winter and the intensity of the atmospheric river. The final part of my research focuses on improving the modelling of snowmelt during rain-on-snow events. The main goal of this section is to explore strategies that could enhance the accuracy of snowmelt simulations. This work also aims to clarify how modelling uncertainties vary with the timing, intensity, and specific characteristics of each rain-on-snow event, contributing to improved hydrological modelling in cold regions.


PhD student in water resource engineering
Affiliations
Department of Civil and Water Engineering,
Université Laval
Centreau
Centre de recherche en eau c-Eau
Cold region hydrology
Hydrological modelling
Hydrometeorology
Supervision: Daniel Nadeau and François Anctil
Supplementary material
Model schematic
The Phase-Guided Partitioning model uses a random forest model to classify the precipitation phase with into either solid, liquid, or mixed and assigns corresponding precipitation quantities, aided by a regressor in the case of mixed-phase precipitation.


7 phase distributions
Distributions of the precipitation phase according to the 2-m air temperature. The observed precipitation is displayed in (a) and the comparison models are shown in (b), (d), and (f). The different Phase-Guided Partitionning (PGP) models are shown in (c), (e), and (g). PGP_basic has the lowest data requirement (i.e. 2-m temperature and elevation), PGP_hydromet includes additional hydrometeorological variables, and PGP_full integrates atmospheric reanalysis data.


Event types
Seasonal occurrence of 151 rain-on-snow events over 47 Hydro-Québec-operated sites. The event categories refer to the atmospheric river (AR) intensity, with high-scale and low-scale AR being events of high and low intensity respectively, while non-AR corresponds to an event where the intensity did not meet the minimum intensity threshold.


Event distributions
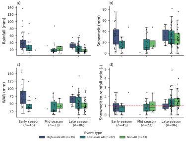
Water available for runoff (WAR) partitioning of 151 rain-on-snow events at Hydro-Québec-operated sites. The events are separated by seasonal occurrence and atmospheric river (AR) intensity. The event categories refer to the atmospheric river (AR) intensity, with high-scale and low-scale AR being events of high and low intensity respectively, while non-AR corresponds to an event where the intensity did not meet the minimum intensity threshold. The total event rainfall and melt are shown in a) and b), which constitute the total WAR amount shown in c). The ratio of total event rainfall and melt is shown in d), which reveals the relative contribution of these water inputs.
Contact
© 2025. All rights reserved.
Pavillon Adrien-Pouliot
1065, avenue de la Médecine
Québec (Québec) G1V 0A6


